Социальная гигиенаМедицина и образование / Социальная гигиенаСтраница 7
1. Укомплектованность штата врачей = кол-во занятых должностей
количество штатных должностей * 100%
Укомплектованность штата врачей = 57 * 100 = 95 %
60
2. Число должностей, приходящихся на 1 врача ЦРБ = кол-во занятых должностей
число физических лиц
Число должностей, приходящихся на 1 врача ЦРБ = 57 = 1,096 ≈ 1,1
52
Таким образом, в ЦРБ на 1 врача приходится 1,1 врачебной должности. Значит, в ЦРБ имеет место совмещение врачебных должностей.
Расчет расходов по основным статьям сметы ЦРБ
1 ст. – заработная плата (только для участковых терапевтов)
12 * (2474, 4 : 4 + 2474,4 ) = 37.116 руб.
2 ст. – начисления на заработную плату (38, 5%)
37.116 * 38,5 = 14.289,6 руб.
100
9 ст. – расходы на питание (терапевтическое отделение)
Число коек в отделении * планируемая среднегодовая занятость койки * расходы на одного больного в день
84 * 343 * 10 = 288 * 120
10 ст. – приобретение медикаментов и перевязочного материала
Число коек в отделении * планируемая среднегодовая занятость койки * расходы на медикаменты по стационару
83 * 343 * 20 = 576.240 руб.
В результате выборочного изучения материалов о временной нетрудоспособности больных, с острыми вирусными респираторными заболеваниями, своевременно обратившихся к врачу ( в 1 день) заболевания, были получены следующие данные.
Распределение больных ОРВИ по длительности заболевания
| Число дней временной нетрудоспособности | Число больных |
| 6 | 10 |
| 8 | 55 |
| 11 | 20 |
| 14 | 5 |
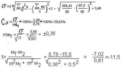
В группе больных этими же заболеваниями, несвоевременно обратившихся, средняя длительность временной нетрудоспособности составила 15,8 дней + / - 0,5 дня.
| V | P | pV | a | aP | a 2 P |
| 6 | 10 | 60 | - 3,75 | - 37,5 | 140, 62 |
| 8 | 55 | 440 | - 1,75 | - 96,25 | 96,25 |
| 11 | 20 | 220 | 1,25 | 25 | 31,25 |
| 14 | 5 | 70 | 4,25 | 21,25 | 90,31 |
| ∑ = 39 | ∑ = 90 | ∑ = 720 | ∑ = 0 | ∑ = - 87,5 | ∑ = 358, 43 |
М = (6 + 8 + 11 + 14) : 4 = 9,75 а = V – М
М1 = М + ∑ а Р = 9,75 – 87,5 = 9,75 – 0,97 = 8,78 i = 14 - 6 = 2
n 90 4
Смотрите также
Клиническая картина
Выделяют 3
периода в клиническом течении синдрома сдавления (по М.И. Кузину).
I период: от 24 до 48 часов после
освобождения от сдавления. В этом периоде довольно характерны проявления,
которые можно рассматривать как травматический шок: болевые реакции,
эмоциональный стресс, непосредственные последствия плазмо- и кровопотери.
Возможно развитие гемоконцентрации, патологических изменений в моче, повышение
остаточного азота крови. Для син ...
Санитарная характеристика компьютерных классов
Проанализировав литературные источники, касающиеся темы наших исследований, можно
сказать, что проблема влияния физических факторов на состояния здоровья
подрастающего поколения, во время работы с компьютером, не изучена в полной
мере.
Имеются ряд публикаций, в которых затронуты вопросы
вредного влияния ПЭВМ на население.
В этой связи, целью наших исследований было:
Проведение санитарно-гигиенической характеристи ...




